반죽

타국어 표기
영어dough, batter, paste, knead, half porridge
중국어和(huó), 揉(róu), 浆(jiāng), 挼(ruó), 和(huò)
일본어生地 (キジ)
힌디어लोई(Lō'ī)
독일어Teig
프랑스어pâte
터키어hamur
이탈리아어pasta 파스타
스페인어masa
에스페란토pasto

찰지다
Half

1 개요

혼합의 일종으로 고운 가루에 약간의 액체, 을 섞어서 탄력 있는 덩어리를 만드는 행위, 혹은 그렇게 해서 만들어진 것을 일컫는 말이다. 밀가루쌀가루이나 식용유 등을 첨가하여 빚거나 뭉칠 수 있는 정도로 부드러운 상태라는 의미도 있으며, 비단 밀가루뿐만이 아니라 여러 가지가 뒤섞여 있는 것 역시 반죽이라고 부르기도 한다. 동사로 쓰이면 고점성의 재료 혹은 분체를 액체와 혼합한다는 의미로 쓰인다.[1] 뻔뻔스럽거나 비위가 좋아 주어진 상황에 잘 적응하는 성미를 비유하는 의미로 쓰이기도 한다.

부침개, , , 파스타, 등 밀가루와 쌀가루를 이용한 요리들의 필수 요소.

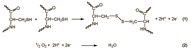
2 찰진 반죽의 화학적 원리

Scheme_1.gif
밀가루을 더해 반죽함으로써 독특한 글루텐이 형성되고, 나아가 반죽을 계속하게 되면, 그 점탄성이 강해진다. 이러한 현상이 일어나는 기작에 대해서는 예부터 유변학적(rheology)[2] 연구가 이루어졌다.

과거에는 글루텐 중에 포함되어 있는 2개의 SH기가 산화되어(H를 잃어) 1개의 SS 결합을 형성함으로써 글루텐 분자 사이를 이어 망상구조를 만들기 때문인 것으로 생각되었다.(-S-H + H-S- → -S-S- + H2)

하지만 최근의 연구에서 밀단백 중의 SH기는 그 수가 적고 글루텐 분자 사이를 결합시킬 수 있을 정도의 힘이 되지 않는다는 결론이 나와 새로운 글루텐 형성 기작으로 SS-SH기 교환반응이 대두되었다. 즉, 산화되지 않고서 남은 SH기와 SS기가 접촉하여 SS기의 1개의 S와 새로운 분자간 결합에 의한 SS기를 형성하여, 남은 S는 SH기가 되고 다시 SS 결합을 촉진한다고 하는 것이다.(①-S1-H + -S2-S3- → -S1-S3- + -S2-H, ②-S2-H는 다른 -S-S-와 ①을 반복)

어떻든 반죽하는 것은 SH기와 SS기와의 접촉 기회를 주며, 반죽의 글루텐 형성을 진행시키는데 있어서 중요한 의미를 갖고 있다. 밀가루에 산화제를 첨가하는 목적은 SS 결합을 촉진시키고, 반죽을 풀리게 하여 반죽 형성에 악영향을 주는 밀가루 중의 환원물질을 산화시키는 것이다. (대략 정신이 멍해진다)

3 제작

반죽은 작업자(또는 요리사)가 직접 분말과 액체를 혼합하거나 자동화된 반죽 기계로 만들며, 용도에 따라 반죽을 빚은 후 숙성의 과정을 거치기도 한다. 직접 반죽을 만들 경우 팔을 상당히 쓰게 되므로 요리사들은 팔 근육이 발달한 경우가 많다.

3.1 반죽법의 종류

  • 제빵 반죽: 밀가루가 주된 배율을 차지하는 제빵에서의 반죽이다. 글루텐을 활성화 시키는 방향으로 반죽한다.
  • 제과 반죽: 기본 반죽법은 공립법(전란을 한 번에 반죽), 별립법(흰자와 노른자를 따로 반죽 후 혼합)이다. 계란이나 감미료, 유지가 주가 되며 밀가루는 제빵의 반죽법에 비하면 큰 비율을 차지하지 않기 때문에 성질상 고체와 액체 정도의 큰 차이가 나는 경우도 있다.
  1. 반죽형 반죽: 일반적인 반죽법으로 유지에 설탕을 녹이며 계란을 혼합한 후 가루류를 넣어 만드는 방법이다.
  2. 블렌딩법 반죽: 밀가루에 유지를 넣고 유지가 밀가루 안에서 쌀알 같은 알갱이가 되도록 잘게 섞어준 뒤 액체재료를 넣어 만드는 방법이다.
  3. 1단계법 반죽: 모든 재료를 한꺼번에 유지에 넣어서 만드는 방법이다.
  4. 크림법 반죽 : 유지에 설탕과 계란을 나누어 넣으면서 부드러운 크림상태가 되게 섞어준 뒤 체친 가루류를 가볍게 넣어 만드는 방법이다.
  5. 시퐁법 반죽 : 식용유와 노른자를 혼합한 뒤, 따로 거품 낸 머랭과 체에 친 가루류를 넣고 가볍게 섞어서 만드는 방법이다.

4 종류

반죽도 상태에 따라 종류가 나뉜다. 사용 목적에 따라 쓰이는 상태는 여러 가지다.

  • 배터(batter): 스푼이나 거품기로 휘저어 묽게 만든 걸쭉한 반죽이다. 튀김옷이나 팬케이크을 만들 때 사용한다.
  • 도우(dough D' oh): 밀가루우유등을 혼합하여 만든 된반죽으로 손으로 치대어 되게 만든 반죽이다. 보통 피자, 을 만들 때 사용한다.
  • 페이스트(paste): 밀가루을 섞어 만든 것을 이렇게 표현하는데 빵 반죽과 케이크 반죽의 중간에 위치하는 반죽이다. 밀가루 등의 전분질로 만든 접착제를 이렇게 부르기도 한다.[3][4] 뜨거운 물을 쓴 것은 익반죽이라고 하는데 탄성이 강해진다.

도우(dough)보다 부드러운 상태인 것은 페이스트(paste), 밀가루와 동량 내지 1.5배의 물을 넣어 유동상인 것을 배터(batter)라고 한다.

5 쓰이는 곳

을 만들거나 수제비, 호떡, 부침개, 면 요리, 피자, 쿠키, 케이크, 팬케이크, , 와플, 만두, 핫도그, 찐빵 등을 만들 때 쓰인다. 수제비칼국수, 부침개 많아 등 대부분의 음식에는 중력분을 사용하지만 쫄깃함이 필요로 하는 식빵은 강력분을 사용하고, 바삭함이 중요한 쿠키케이크를 만들 때에는 박력 있게박력분을 사용한다.[5]

콘크리트를 만들 때도 사용된다. 회반죽 만들 때 시멘트에 물과 흙을 섞어 만든다. 진지 작업 등에서 자주 볼 수 있다.

미술품을 만들 때도 점토 등의 반죽이 쓰인다. 주물러 만드는 부조나 환조 등의 조각뿐만 아니라 회반죽을 사용하는 프레스코화에도 쓰이며, 이중섭이 학도 시절 물감과 밀가루 반죽을 섞는 창의적인 기법을 시도했다는 일화가 있기도 하다.

군용 화약도 점성이 있는 플라스틱 폭약 같은 것은 반죽 상태다.(ex: Composition) 폭탄이나 로켓에 들어가는 화약류는 완성품은 굳은 상태이지만(단 충격 등에도 깨지지 않게 고무처럼 탄성이 있는 상태인 경우가 많다) 반죽 상태로 만들어서 틀에 넣고 붓거나 폭탄 껍데기나 로켓 자체를 틀로 사용하여 굳힌다. 그런데 반죽 상태를 유지하려면 이 폭발성 물질에다가 일정 온도로 열을 가해야 하기 때문에 제대로 하려면 안전한 전문 시설이 필요하다.

6 기타

  • 시간을 투자할수록 쫄깃해지고, 소금을 넣으면 더욱 쫄깃해진다. 하지만 지나치게 오랫동안 치면 글루텐이 찢어져 버리기 때문에 빵이 부풀지 않고 식감이 거칠어진다.[6] 반죽을 조금 떼어 수제비보다 얇게 폈을 때, 반죽이 찢어지지 않고 반죽 뒤가 살짝 비춰보일 때가 딱 좋다. 단, 잉글리시 머핀은 일반적인 적정 글루텐 발전도를 넘어서 늘어지는 수준까지(렛다운 단계, let down stage) 좀 더 많이 쳐야 한다. 이 이상 넘어가서 글루텐이 완전히 찢어져 버려 못 쓰는 상태를 파괴 단계(break down stage)라고 한다.
  • 의 양도 중요한데, 너무 물을 많이 넣었다 싶으면 반죽이 아니라 죽처럼 된다. 이 때는 좀 더 밀가루를 넣어주면 해결된다. 반대로 물이 적으면 더 넣으면 된다. 하지만 한번 반죽을 하고 덧손질을 할 때는 실패할 가능성이 높으니 처음에 계량기 등을 사용해서 주의하도록 하자.
  • 파리바게뜨뚜레쥬르 같은 체인 빵집은 본사에서 제공해주는 냉동 반죽을 사용한다. 이런 반죽은 굽기만 하면 되기 때문에 장사 효율을 높일 수 있다.
  • 반죽을 할 때 반죽이 손가락에 묻을 때가 있는데 이걸 막으려면 반죽을 하기 전 손이나 반죽에 밀가루나 기름을 묻혀주면 좋다. 글루텐을 활성화 시키는 제빵이나 국수 등의 반죽이라면 반죽하면서 글루텐이 활성화되면 알아서 자기들끼리 뭉치므로 덧가루 같은 게 없어도 손이나 주변 도구들이 말끔해진다.
  • 면 요리 식당들 사이에서는 수타면이라는 타이틀이 유행하기도 했다. 물론 단지 이미지적인 측면만 내세운 것은 아니다. 기계로 많이 뽑으면 마찰열 때문에 면이 익어 맛이 떨어지고, 손이 반죽할 때 반죽에 들어가는 공기가 줄어 더 쫄깃해진다.
  • 당연한 얘기지만 반죽은 단단한 물체와는 성질이 많이 다르다. 예를 들면 단단한 물체를 던지면 그냥 날아가 버리지만 반죽은 잘못 던지면 던진 나갈 수도 있다. 이는 반죽이 가지고 있는 유연성과 점성 때문인데, 던지는 순간 휘어져 팔을 휘감으면 관성의 법칙에 의해 반죽은 던져졌을 때의 속도로 움직이려 하고 연결된 팔을 잡아당기게 된다. 물론 운동량 보존의 법칙에 의해 잡아당겨지는 무게가 늘어난 만큼 속도는 줄어든다. 이는 반죽의 유연성과 점성 때문이므로 단단한 반죽은 그냥 날아가게 된다.
  • 게임 《마비노기》에서는 요리 스킬 D랭크에서 반죽 요리를 만들 수 있다. 물론 만들 수 있는 것은 튀김옷과 빵, 면 반죽 등 기초 재료와 미끼 뿐이다.
  • 반죽 특성상 굉장히 으스러진 모양이 연상되기에, 사물이나 사람의 형체가 매우 심하게 으스러졌을 때[7]를 가리키는 속어로도 사용된다. 당연히 고인에게 쓰면 안될 말이라 사람에게는 잘 쓰이지 않으며, 어감에서 오는 극단적인 느낌 때문에 사물이나 멘탈을 가리켜 종종 사용된다.[8]
  1. 이 경우 '혼연'이라고도 부른다.
  2. 물질의 변형과 흐름을 연구하는 학문
  3. 참고로 컴퓨터붙여넣기 기능의 원명도 Paste이다.
  4. 접착제로 불리는 페이스트(paste)는 건축용어로써 쓰인다.
  5. 케이크도 바삭하진 않지만 과자류로 분류되기 때문에 박력분을 사용한다.
  6. 이 외에도 온도 변화 때문에 맛이 변할 수 있다.
  7. 당연히 이 정도로 인체가 손상되면 이미 시체이거나 고통스럽게 죽어가는 경우가 많다.
  8. 예컨데, 이 문서가 계속 반달 당하면서, 위키페어리들이 다시 롤백을 반복하는 동안 멘탈 상태가 반죽이 되어버렸다.